Ответы
Ответ дал:
1
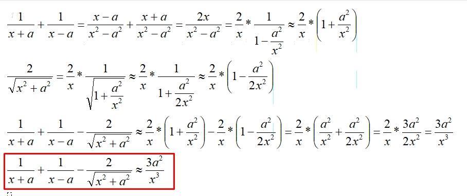
первые две функции разложить в ряд Тейлора до квадратов
Для третьей функции хватит и линейного разложения
Сложим все три выражения, не забыв умножить последнее на -2
много чего уйдет и останется
Ответ дал:
1
Відповідь:
при х >> a
Пояснення:
Приложения:

Вас заинтересует
1 год назад
1 год назад
1 год назад
1 год назад
2 года назад
2 года назад
8 лет назад