Ответы
Ответ дал:
2
Ответ:
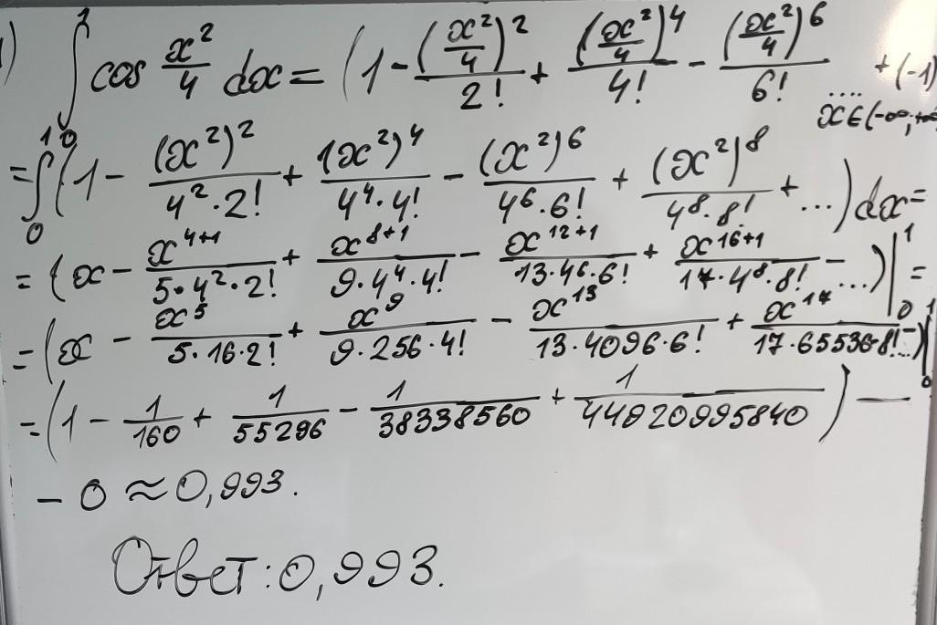
1) Ряд Маклорена для функции y = cosx .
Заменим в этой формуле х на х²/4 , получим
Вычислим интеграл .
Достаточно взять два слагаемых для подсчёта суммы с точностью до 0,001 , так как уже третье слагаемое по модулю меньше заданной точности , | 0,00002 | < 0,001 . Промежуточные вычисления проводим до 4-го знака (один запасной знак) после запятой , а ответ округляем до 3-го знака после запятой .
Ответ: 0,994 .
2) Найти интервал сходимости ряда .
Применим признак Даламбера к ряду, составленному из абсолютных величин членов исходного ряда .
Чтобы ряд сходился , надо чтобы выполнялось неравенство
Интервал сходимости : .
Приложения:


fizikyadershik68:
Здравствуйте, благодарю вас за красивое решение. С уважением, Владимир.
Ответ дал:
0
Пошаговое объяснение:
Ответ смотрите на фотографии.
Приложения:





Вас заинтересует
1 год назад
1 год назад
1 год назад
1 год назад
2 года назад
8 лет назад
8 лет назад