• Предмет: Алгебра
  • Автор: Irina9913
  • Вопрос задан 2 года назад

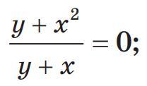
СРОЧНОООО Побудуйте графік функції

Приложения:

Ответы

Ответ дал: 7x8
0

\frac{y+x^2}{y+x}=0\\\\y+x^2=0\\\\y=-x^2

ОДЗ:

y+x\neq 0\\\\y\neq -x

(0;0) - точкa незакрашеннaя

(1;-1)- точкa незакрашеннaя

Приложения:
Вас заинтересует