• Предмет: Математика
  • Автор: lordcraft392
  • Вопрос задан 2 года назад

ПОМОГИТЕ ПОЖАЛУЙСТА! ОЧЕНЬ СРОЧНО НАДО! ДАЮ 10 БАЛЛОВ! ОЧЕНЬ ВАС ПРОШУ, ПОМОГИТЕ((

Приложения:

Ответы

Ответ дал: NNNLLL54
0

Ответ:

1)  Вычислить определитель . Раскрываем определитель по 1 строке .

\left|\begin{array}{ccc}2&-1&1\\3&1&2\\-2&1&1\end{array}\right|=2\left|\begin{array}{ccc}1&2\\1&1\end{array}\right|+\left|\begin{array}{ccc}3&-2\\2&1\end{array}\right|+\left|\begin{array}{ccc}3&1\\-2&1\end{array}\right|=\\\\\\=2\cdot (1-2)+(3+4)+(3+2)=-2+7+5=\bf 10    

2)  По методу Крамера решить систему уравнений .

a)\ \ \left\{\begin{array}{ccc}3x+4y=2\\2x-5y=9\end{array}\right\ \ \ \ \Delta =\left|\begin{array}{ccc}3&4\\2&-5\end{array}\right|=-15-8=-23\ne 0\\\\\\\Delta _{x}=\left|\begin{array}{ccc}2&4\\9&-5\end{array}\right|=-10-36=-46\\\\\\\Delta _{y}=\left|\begin{array}{ccc}3&2\\2&9\end{array}\right|=27-4=23  

x=\dfrac{\Delta _{x}}{\Delta }=\dfrac{-46}{-23}=2\ \ ,\ \ \ y=\dfrac{\Delta _{y}}{\Delta }=\dfrac{23}{-23}=-1\\\\\\\bf Otvet:\ \ (\ 2\ ;-1\ )\ .

           

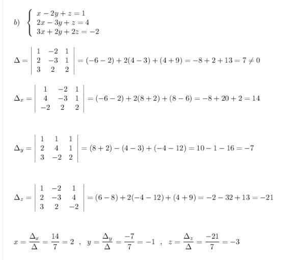
b)\ \ \left\{\begin{array}{lll}x-2y+z=1\\2x-3y+z=4\\3x+2y+2z=-2\end{array}\right\\\\\\\Delta =\left|\begin{array}{ccc}1&-2&1\\2&-3&1\\3&2&2\end{array}\right|=(-6-2)+2(4-3)+(4+9)=-8+2+13=7\ne 0\\\\\\\Delta _{x}=\left|\begin{array}{ccc}1&-2&1\\4&-3&1\\-2&2&2\end{array}\right|=(-6-2)+2(8+2)+(8-6)=-8+20+2=14  

\Delta _{y}=\left|\begin{array}{ccc}1&1&1\\2&4&1\\3&-2&2\end{array}\right|=(8+2)-(4-3)+(-4-12)=10-1-16=-7  

\Delta _{z}=\left|\begin{array}{ccc}1&-2&1\\2&-3&4\\3&2&-2\end{array}\right|=(6-8)+2(-4-12)+(4+9)=-2-32+13=-21

x=\dfrac{\Delta _{x}}{\Delta }=\dfrac{14}{7}=2\ \ ,\ \ y=\dfrac{\Delta _{y}}{\Delta }=\dfrac{-7}{7}=-1\ \ ,\ \ z=\dfrac{\Delta _{z}}{\Delta }=\dfrac{-21}{7}=-3\\\\\\\bf Otvet:\ x=2\ ,\ y=-1\ ,\ z=-3\ .          

Приложения:
Вас заинтересует