• Предмет: Математика
  • Автор: cawa13200508
  • Вопрос задан 2 года назад

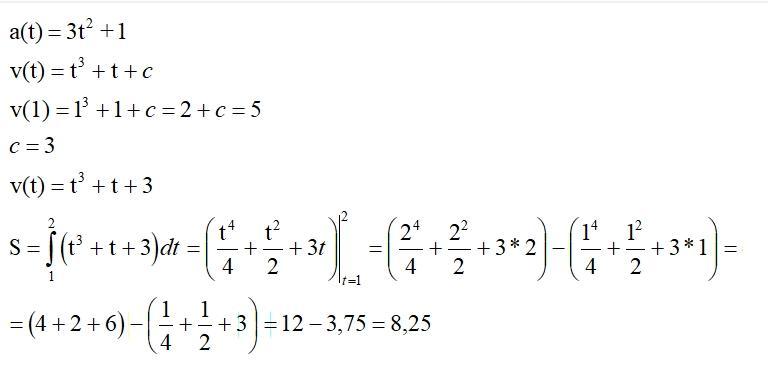
срочно. Матеріальна точка рухається прямолінійно з прискорен- ням a(t) 3t² + 1 (у м/с²). Знайдіть шлях, який пройшла точка за інтервал часу від t1 = 1 с до t2 = 2 с, якщо в момент часу t = 1 с її швидкість була 5 м/с.​

Ответы

Ответ дал: aarr04594
1

Відповідь: 8,25 м.

Покрокове пояснення:

розв'язання завдання додаю

Приложения:
Ответ дал: IUV
0

Відповідь:

8,25 м

Покрокове пояснення:

Приложения:

stranik1708d: помогите розвязать мою задачу?
Вас заинтересует