Задача по геометрии. Помогите решить.
Приложения:

ГАЗ52:
А какой класс?
Самое изящное.
☆☆☆☆☆
Ответы
Ответ дал:
1
Відповідь:
63
Пояснення:
Приложения:



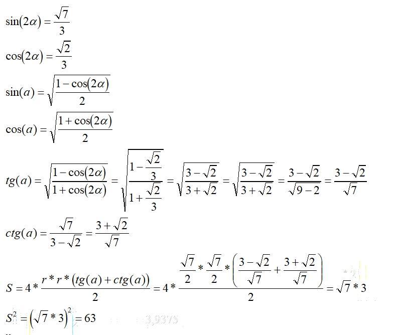
2. площадь треугольника находилась как основание умноженное на высоту пополам. высота это r. основание состоит из двух отрезков.
один из них r*tg(a) второй r*ctg(a)
в итоге площадь ромба это площадь 4 треугольников
S = 4 * (основа * высота /2 ) = 2 * (основа * высота ) =
= 2 * ( r * (tg(a)+ctg(a)) * r ) = 2 * r^2 * (tg(a)+ctg(a))
Ответ дал:
1
См. рис.
Центр окружности, вписанной в ромб совпадает с центром ромба: точкой пересечения его диагоналей.
Диагонали ромба делят его на 4 одинаковых прямоугольных треугольника. Радиус вписанной окружности является высотой этих треугольников, проведенной из вершины прямого угла.
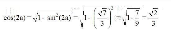
Один из углов в этих треугольниках, который меньше 45 градусов является половиной острого угла , синус которого равен
Высота в этих прямоугольных треугольниках, которая равна радиусу описанной окружности связана с катетом , который прилежит к углу
следующим образом:
Другой катет
А площадь ромба это 4 таких прямоугольных треугольника с катетами и
Ну и соответственно
Приложения:

Вас заинтересует
1 год назад
1 год назад
2 года назад
2 года назад