Ответы
Ответ дал:
0
надеюсь, что помогла тебе:)
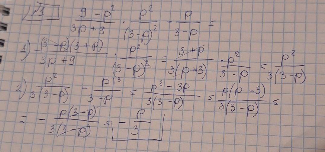
Приложения:


Вас заинтересует
1 год назад
1 год назад
1 год назад
2 года назад
2 года назад
8 лет назад