• Предмет: Алгебра
  • Автор: sativia888
  • Вопрос задан 2 года назад

помогите пожалуйста!!!​
Подайте у вигляді виразу, що не містить степеня з від'ємним показником
задание на фото

Приложения:

Ответы

Ответ дал: NNNLLL54
2

Ответ:

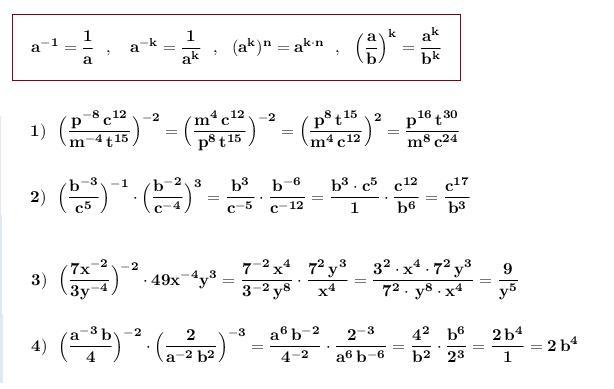
Применим свойства степеней с отрицательным показателем :

\bf a^{-1}=\dfrac{1}{a}\ \ ,\ \ \ a^{-k}= \dfrac{1}{a^{k}}\ \ ,\ \ (a^{k})^{n}=a^{k\cdot n}\ \ ,\ \ \Big(\dfrac{a}{b}\Big)^{k}=\dfrac{a^{k}}{b^{k}}        

\bf \displaystyle 1)\ \ \Big(\frac{p^{-8}\, c^{12}}{m^{-4}\, t^{15}}\Big)^{-2}=\Big(\frac{m^4\, c^{12}}{p^8\, t^{15}}\Big)^{-2}=\Big(\frac{p^{8}\, t^{15}}{m^{4}\, c^{12}}\Big)^{2}=\frac{p^{16}\, t^{30}}{m^8\, c^{24}}\\\\\\2)\ \ \Big(\frac{b^{-3}}{c^5}\Big)^{-1}\cdot \Big(\frac{b^{-2}}{c^{-4}} \Big)^{3}=\frac{b^3}{c^{-5}}\cdot \frac{b^{-6}}{c^{-12}}=\frac{b^{3}\cdot c^5}{1}\cdot \frac{c^{12}}{b^6}=\frac{c^{17}}{b^3}            

\bf \displaystyle 3)\ \ \Big(\frac{7x^{-2}}{3y^{-4}}\Big)^{-2}\cdot 49x^{-4}y^3=\frac{7^{-2}\, x^4}{3^{-2}\, y^8}\cdot \frac{7^2\, y^3}{x^4}=\frac{3^2\cdot x^4\cdot 7^2\, y^3}{7^2\cdot \, y^8\cdot x^4}=\frac{9}{y^5}\\\\\\4)\ \ \Big(\frac{a^{-3}\, b}{4}\Big)^{-2}\cdot \Big(\frac{2}{a^{-2}\, b^2}\Big)^{-3}=\frac{a^6\, b^{-2}}{4^{-2}}\cdot \frac{2^{-3}}{a^6\, b^{-6}}=\frac{4^2}{b^2}\cdot \frac{b^6}{2^3}=\frac{2\, b^4}{1}=2\, b^4  

Приложения:

kimkarina953: здравствуйте. не могли бы помочь с алгеброй пожалуйста
Вас заинтересует