• Предмет: Алгебра
  • Автор: iamtoxik
  • Вопрос задан 2 года назад

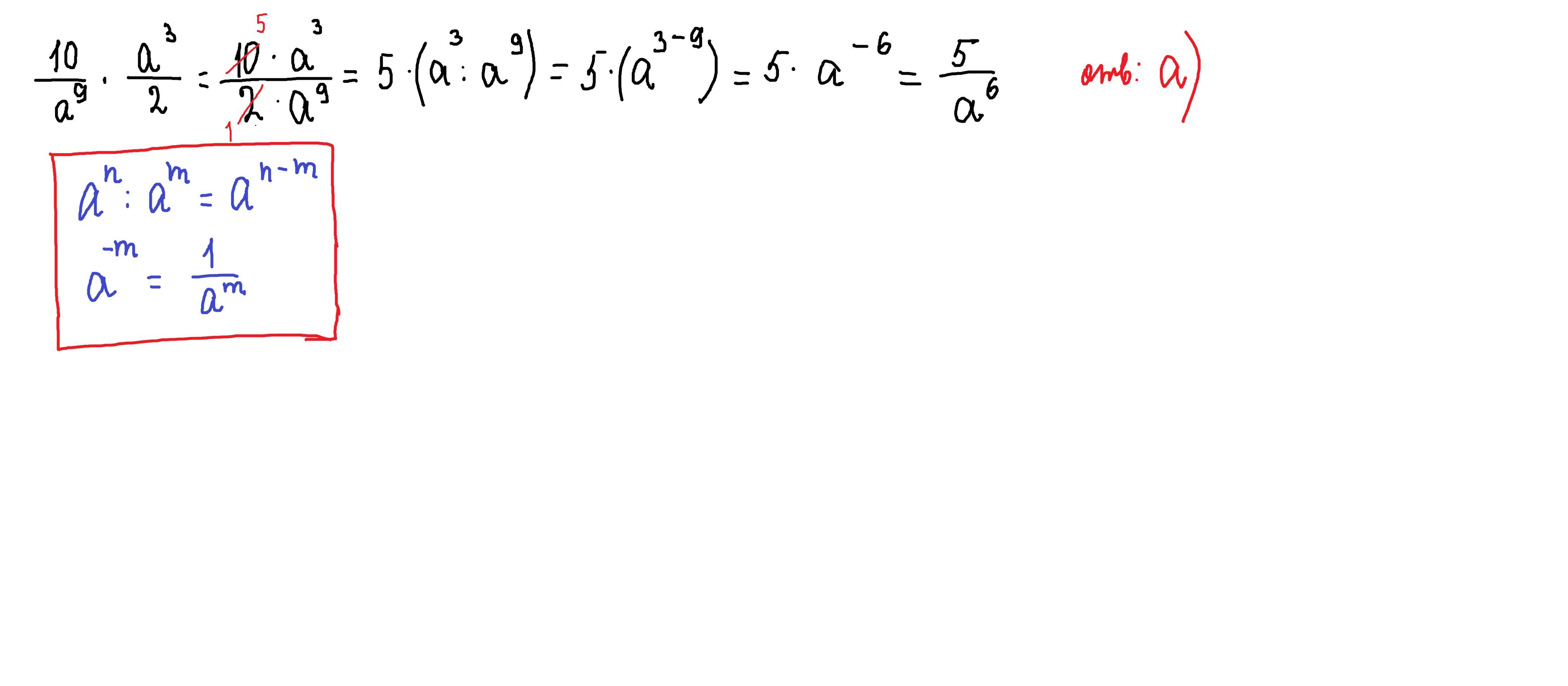
Подай у вигляді дробу вираз: 10/а9 * а3/2
(Обери одну відповідь)
а)5/а6
б)5/а3
в)1/5а3
г)1/5а6

Ответы

Ответ дал: iramazurk
1

Ответ:

а)

Объяснение:

10/(а^9) * (а^3)/2 = 5/(а^9) * (а^3)/1 =
(5а^3)/(а^9) = 5/(а^6)

Ответ дал: parus77
2

Ответ:

а)

Объяснение: св-ва записаны в рамочке

при делении степеней с одинаковым основанием показатели вычитаются

Приложения:

Stando44: суаер
Stando44: супер
Вас заинтересует