Ответы
Ответ дал:
0
Ответ:
Можно лучший ответ
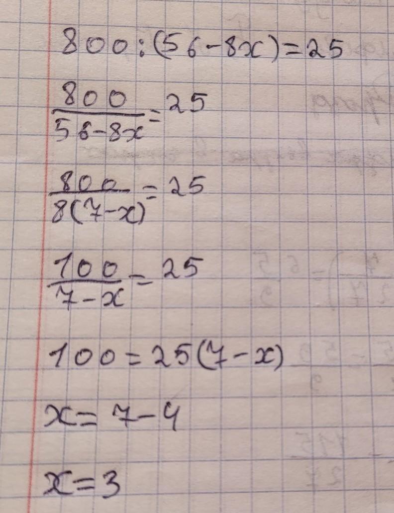
Пошаговое объяснение:
♡♡♡♡♡♡♡♡♡♡♡♡♡♡
Приложения:

Вас заинтересует
1 год назад
2 года назад
8 лет назад