Ответы
Ответ дал:
0
Объяснение:
напиши свое мнение под комментарии плизз
Приложения:

Ответ дал:
0
Ответ:
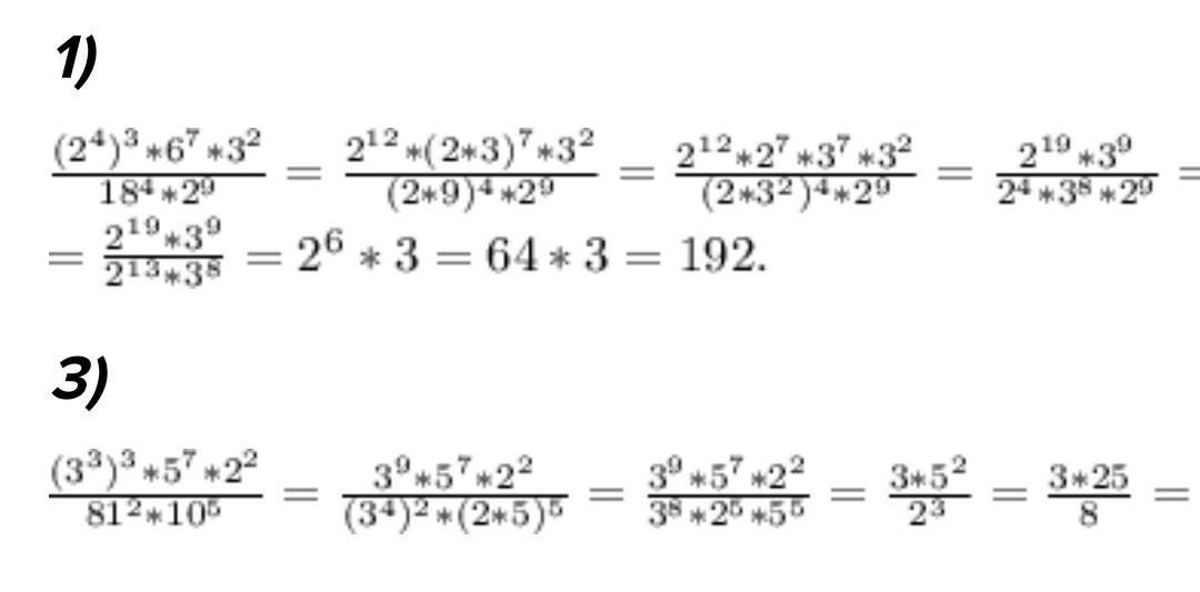
1) 192
3) 9.375
Объяснение:
У меня так вишло
Вас заинтересует
1 год назад
1 год назад
1 год назад
2 года назад
8 лет назад
8 лет назад