• Предмет: Математика
  • Автор: annaseleseva
  • Вопрос задан 2 года назад

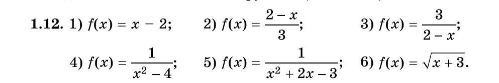
помогите, пожалуйста ​

Приложения:

Ответы

Ответ дал: t1986bekov
1

Ответ:

481

9739 + x7 = 88138)8(x > )yx5 \frac{?}{?}

Вас заинтересует