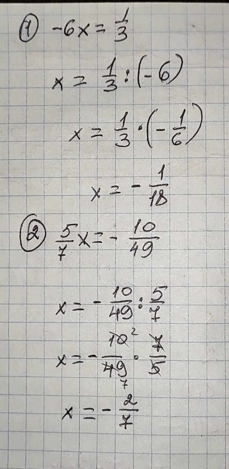
-6х = 1/3
5/7х = -10/49
помогите пожалуйста, очень срочно, сейчас проходим тему "Лінійне рівняння з однією зміною"
Ответы
Ответ дал:
1
Ответ:
................
Пошаговое объяснение:
.............
Приложения:

SummerButterfly:
спасибо, вы спасли ещё одну жизнь
Вас заинтересует
1 год назад
1 год назад
1 год назад
1 год назад
2 года назад
2 года назад
8 лет назад
8 лет назад