Ответы
Ответ дал:
0
Надеюсь понятно
С решиниями и ответом
С решиниями и ответом
Приложения:

Ответ дал:
0
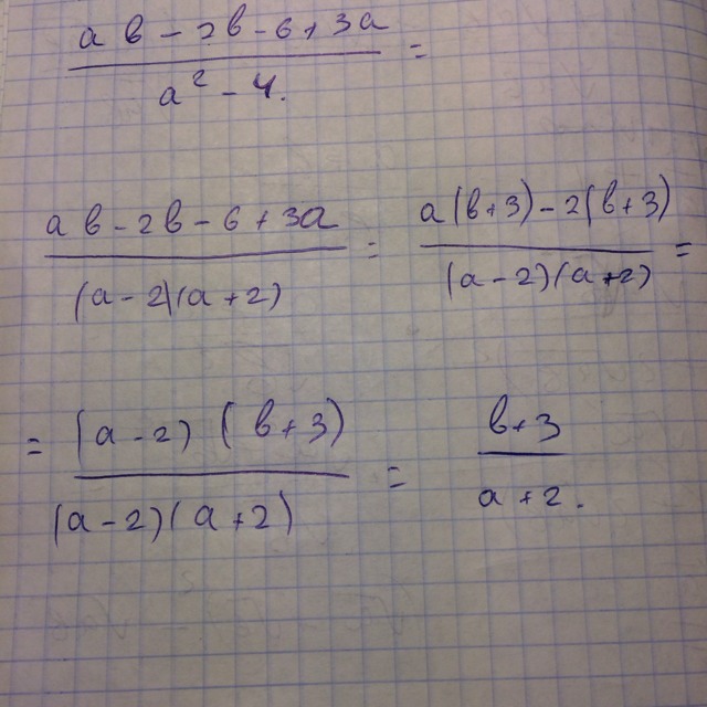
(ab-2b-6+3a)/a^2-4=(b(a-2)-3(2-a))/(a-2)(a+2)=(b(a-2)+3(a-2))/(a-2)(a+2)=(b+3)(a-2)/(a-2)(a+2)=
(a-2) и (а-2) сокращаем:
(b+3)/(a+2)
(a-2) и (а-2) сокращаем:
(b+3)/(a+2)
Приложения:

Вас заинтересует
2 года назад
8 лет назад
10 лет назад
10 лет назад
10 лет назад