Ответы
Ответ дал:
0
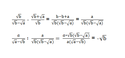
Решение на фотографии. Надеюсь, что все верно.
Приложения:

Ответ дал:
0
спасибо большое посмотри пожалуйста у меня там естб ее немного заданий без ответа.....сегодня добавляла...
Ответ дал:
0
У вас не просто корень из B
Ответ дал:
0
http://znanija.com/task/5322594
Ответ дал:
0
ПОМОГИТЕ
Ответ дал:
0
...................................
Приложения:

Вас заинтересует
2 года назад
10 лет назад
10 лет назад
10 лет назад