• Предмет: Алгебра
  • Автор: daniilnosik5
  • Вопрос задан 2 года назад

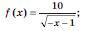
найдите область значения

Приложения:

Ответы

Ответ дал: clubanonim193
1

Ответ:

E(f)=(0;+ \infty )

Объяснение:

Это называется не областью значения, а множеством значений.

f(x) =  \frac{10}{ \sqrt{ - x - 1} }

Множество значений функции - множество, содержащее все возможные значения функции. Заметим, что корень в знаменателе не может принимать отрицательных значений и 0, поэтому f(x) может быть любым положительным числом.

Вас заинтересует