Ответы
Ответ дал:
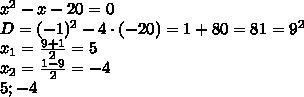
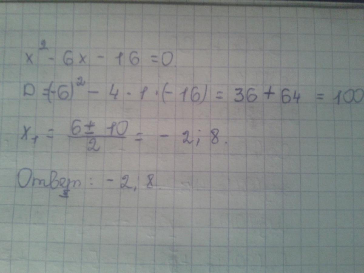
1
держи тебе ответ)
Надеюсь помог
Приложения:


Вас заинтересует
1 год назад
1 год назад
1 год назад
1 год назад
2 года назад
2 года назад
8 лет назад
8 лет назад