• Предмет: Алгебра
  • Автор: bao1984
  • Вопрос задан 2 года назад

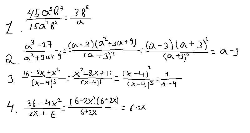
6) 10. Сократите дробь: 45a3b' a) 15a*b² ; 36-4x² 2x + 6 в) г) a3 - 27 a² + 3a + 9’ 16 - 8x + x² (x - 4)3​

Приложения:

Ответы

Ответ дал: bikozavr06
13

Все правильно. Можешь не сомневаться)

Приложения:

incogneto13: Спасибо
vokk481: можешь в следующем ответе написать ответы пожалуйста
incogneto13: Ок
incogneto13: Кто двинется тот гей
Вас заинтересует