• Предмет: Алгебра
  • Автор: bobikbanana
  • Вопрос задан 2 года назад

Знайдіть значення виразу
дам 30 балів​

Приложения:

Ответы

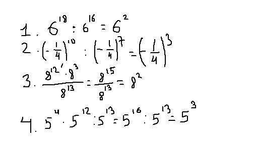
Ответ дал: bikozavr06
1

Ответ:

ответ ниже

Объяснение:

Приложения:
Вас заинтересует