• Предмет: Алгебра
  • Автор: karonalian
  • Вопрос задан 2 года назад

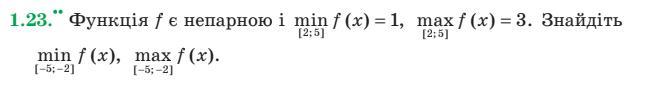
100 БАЛІВ ДАЮ ЗА РІШЕННЯ З ПОЯСНЕННЯМ

Приложения:

Ответы

Ответ дал: Mimika134
0
Якщо функція непарна, то f(-x)=-f(x)
Тому f(-3)=2
Незнаю чи вірно я тільки вчу цю тему
Вас заинтересует