• Предмет: Алгебра
  • Автор: tomacinskaoksana
  • Вопрос задан 2 года назад

допоможіть даю 50 баліВ ДОПОМОЖІТЬЬЬЬ​

Приложения:

Ответы

Ответ дал: bogdannazinkiv558
0

Ответ:

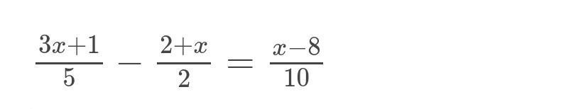
 \frac{3x + 1}  5\ \ -  \ \frac{2 + x}{2}  =  \frac{x - 8}{10}  \:  \: ) \times 10

2(3x+1)-5(2+x)=x-8

6x+2-10-5x=x-8

x-8=x-8

Твердження справедливе для будь-якого значення x,оскільки обидві частини однакові.

Вас заинтересует