• Предмет: Алгебра
  • Автор: panchukangelina1113
  • Вопрос задан 2 года назад

поможіть будьласка ​

Приложения:

Ответы

Ответ дал: msvidkij48
0

Ответ:

Объяснение:

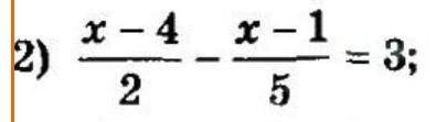
x-4/2-x-1/5

5(x-4)-2(x-1)=30

5x-20-2x+2=30

3x-18=30

3x=30+18

3x=48

x=16

Вас заинтересует