Ответы
Ответ дал:
0
Ответ:
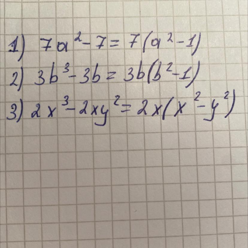
1) 7(а²-1)
2) 3b(b²-1)
3) 2x(x²-y²)
вроде так
Ответ дал:
0
розкладіть на множники:
1) 7a^2- 7;
2) 3b^3-3b;
3) 2x^3 - 2xy^2;
1) 7a^2- 7;
2) 3b^3-3b;
3) 2x^3 - 2xy^2;
Приложения:

Вас заинтересует
1 год назад
1 год назад
1 год назад
1 год назад
2 года назад
8 лет назад