Ответы
Ответ дал:
1
Ответ:
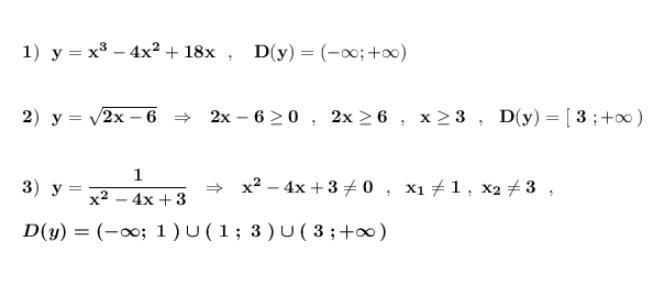
Подкоренное выражение квадратного корня должно быть неотрицательным . Знаменатель дроби должен быть не равен 0 .
Приложения:

bogunivan2006:
спасибо
Вас заинтересует
1 год назад
1 год назад
1 год назад
8 лет назад