Ответы
Ответ дал:
1
Ответ:
на фото всё решение есть
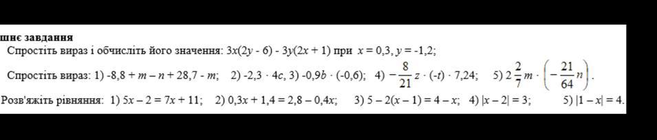
Приложения:



dania6541:
Велике дякую
Вас заинтересует
1 год назад
1 год назад
1 год назад
2 года назад
8 лет назад