• Предмет: Алгебра
  • Автор: annanosata32
  • Вопрос задан 2 года назад

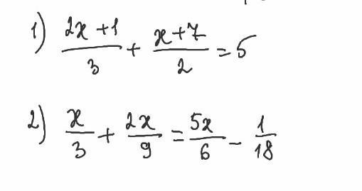
Розв'язати рівняння ​

Приложения:

Аноним: напишіть свій інст, там допоможу вам з вирішенням
annanosata32: annpqww_15.06

Ответы

Ответ дал: ildar502020
1

Ответ:

Объяснение:

1)  (2x+1)/3 + (x+7)/2 = 5;  Общий знаменатель 3*2=6.

2(2x+1) + 3(x+7) = 30;

4x+2+3x+21=30;

7x = 7;

x=1.

------------

2)  x/3+2x/9=5x/6-1/18;           Общий знаменатель 18.

6x+4x=15x-1;

-5x=-1;

x=1/5 = 0.2.

Вас заинтересует