Ответы
Ответ дал:
1
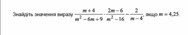
Объяснение показано на фото
Приложения:

Вас заинтересует
1 год назад
2 года назад
2 года назад
8 лет назад