• Предмет: Алгебра
  • Автор: tsinkostas1308
  • Вопрос задан 2 года назад

Помогите пожалуста срочно даю 85балов

Приложения:

ozodbekkk: ya ne tak uj i xorosh prosti pomog bi esli mog
Аноним: напишіть свій інст, там допоможу з вирішенням

Ответы

Ответ дал: adelinabeck54
1

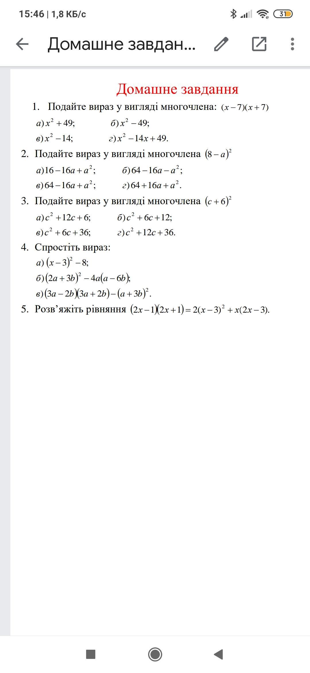
Ответ:

1-б

2-в

3-г

4-в- (3а^2 - 2б^2)-(а+3б)^2

ну вроде так

Вас заинтересует