• Предмет: Математика
  • Автор: dzdanulo050612
  • Вопрос задан 2 года назад

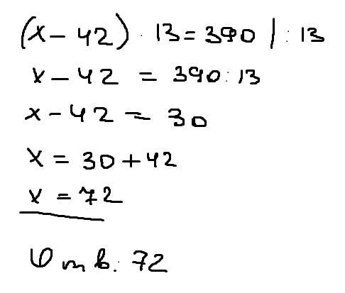
24. Розв'яжи рiвняння: 3) (x-42)•13 = 390; даю 10 балів​

Ответы

Ответ дал: cor1eone
0

Доброго времени суток. Решение во вложении

Приложения:
Ответ дал: syzdykovahansajym467
0

а ещё можно так )))))))))))))))))))))))

Приложения:

dzdanulo050612: ні
Вас заинтересует