• Предмет: Алгебра
  • Автор: gerrlim1
  • Вопрос задан 2 года назад

СРОЧНО!! ДАМ 100 БАЛЛОВ КТО РЕШИТ

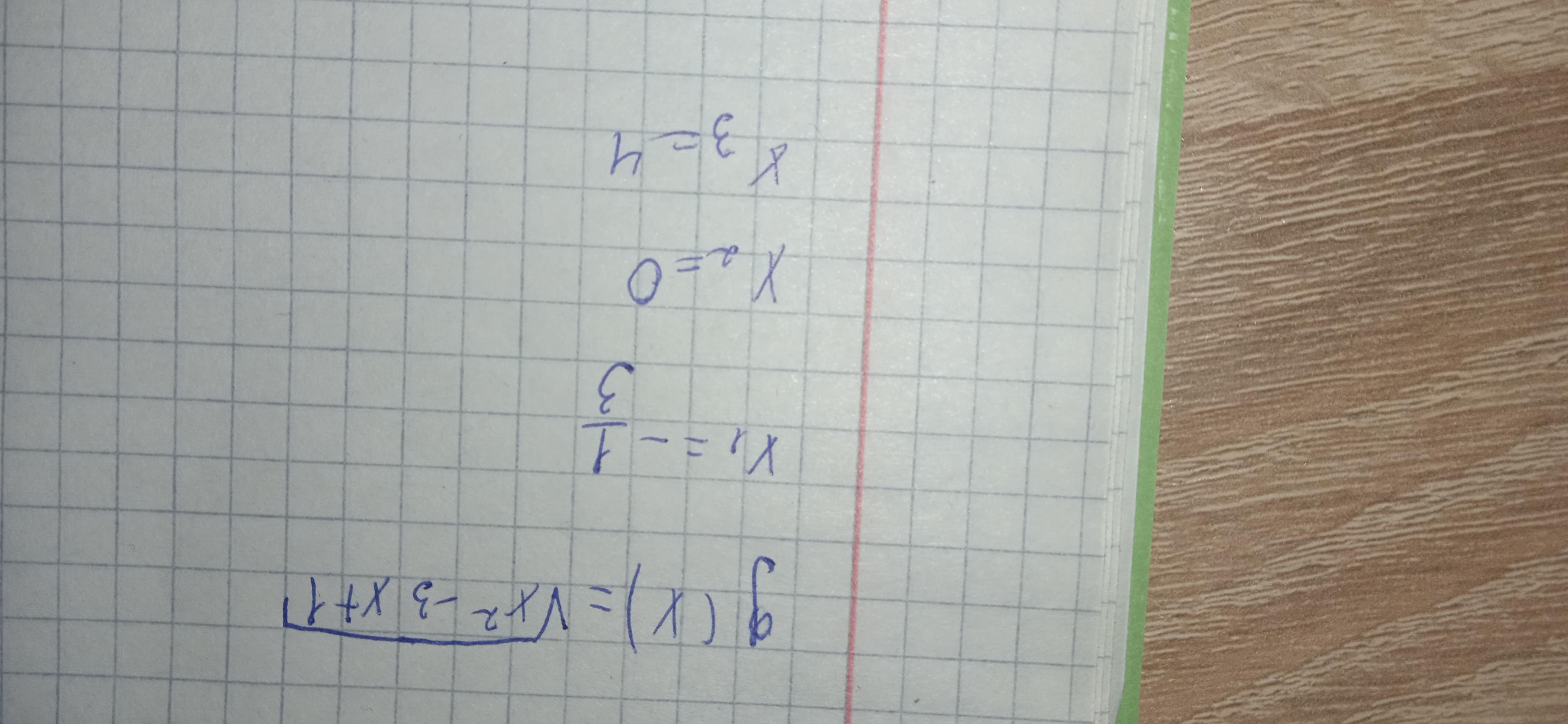
Приложения:

Ответы

Ответ дал: flepppyyt
1

Ответ:

g(-1/3) = sqrt(11)/3

g(0) = 1

g(4) = sqrt(5)

Объяснение:

Подставим x = -1/3:

g(-1/3) = sqrt((-1/3)^2 - 3*(-1/3) + 1)

= sqrt(1/9 + 1 + 1)

= sqrt(11/9)

= sqrt(11)/3

Подставим x = 0:

g(0) = sqrt(0^2 - 3*0 + 1)

= sqrt(1)

= 1

Подставим x = 4:

g(4) = sqrt(4^2 - 3*4 + 1)

= sqrt(16 - 12 + 1)

= sqrt(5)
Таким образом, получаем следующие значения функции g(x) при заданных значениях x:

g(-1/3) = sqrt(11)/3

g(0) = 1

g(4) = sqrt(5)

Вас заинтересует