• Предмет: Алгебра
  • Автор: dimwqxx
  • Вопрос задан 2 года назад

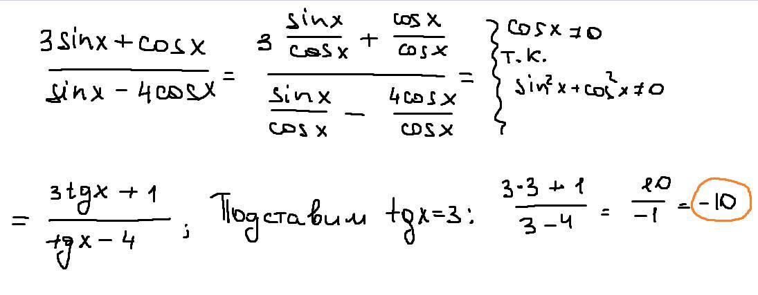
Решите с объяснением пожалуйста

Приложения:

Ответы

Ответ дал: cor1eone
1

Доброго времени суток. Решение во вложении

Приложения:

Аноним: Доброго дня! Допоможіть мені будь ласочка з алгеброю, завдання у моєму профілі. Буду дуже вдячна!
Аноним: Вся надія на Вас.
Вас заинтересует