• Предмет: Алгебра
  • Автор: Artyreik
  • Вопрос задан 2 года назад

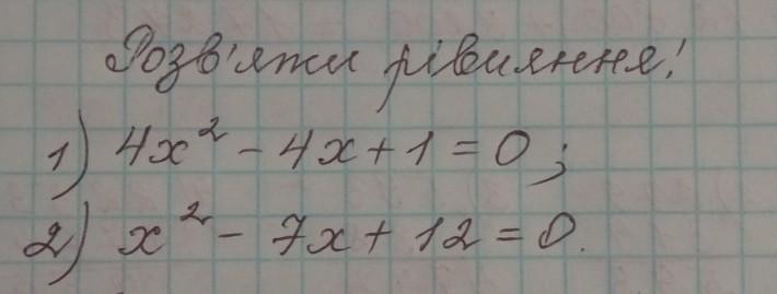
СТРОСНОООО ДАМ 60 БАЛІВ І ІОРМУЛУУУУ ТОЖЕ НАПИГІТЬ ПОЖАЛУСТА ​

Приложения:

Ответы

Ответ дал: Universalka
0

\displaystyle\bf\\1)\\\\4x^{2} -4x+1=0\\\\D=(-4)^{2} -4\cdot 4\cdot 1=16-16=0\\\\\\x=\frac{4}{4\cdot 2} =\frac{1}{2} =0,5\\\\Otvet \ : \ 0,5\\\\2)\\\\x^{2} -7x+12=0\\\\D=(-7)^{2} -4\cdot 12=49-48=1\\\\\\x_{1} =\frac{7-1}{2} =\frac{6}{2} =3\\\\\\x_{2} =\frac{7+1}{2} =\frac{8}{2} =4\\\\\\Otvet \ : \ 3 \ ; \ 4

Вас заинтересует