• Предмет: Алгебра
  • Автор: karpenkoanna21012010
  • Вопрос задан 2 года назад

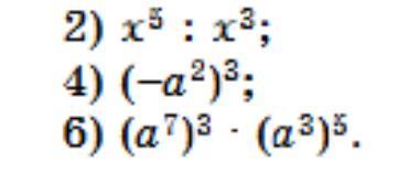
Подайте у вигляді степеня вираз:

Приложения:

Ответы

Ответ дал: kirishate
0

Ответ:

2) х²

4)а⁶

6)а³⁶

Объяснение:

при діленні стенені віднімаються, при множенні додаються, степінь в середині дужки ми множимо на степінь поза дужкою

Ответ дал: mEomEvvv
0

Ответ:

2)x^2

3)-a^6

4)a^21*a^15=a^36

Объяснение:

при діленні степені віднімаються,при множенні додаються,коли є дужки,то множаться

Вас заинтересует