• Предмет: Математика
  • Автор: karinaneshitailo2008
  • Вопрос задан 2 года назад

пж решите бро, 70 балов даю
с каждого задания, по 1 ответу, на выбор​

Приложения:

Ответы

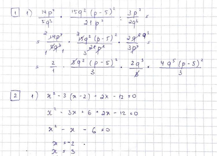
Ответ дал: valiama
0

Відповідь: все на фото

Приложения:
Вас заинтересует