найти производну
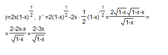
y=2*x* корень из(1-х)
при каких значениях а функция у=(5/3)а*х^3-30x^2+5*(a+9)x-7 возрастает на всей числовой прямой?
Ответы
Ответ дал:
0
использованы формулы: производная от степени, производная произведения
Приложения:

Вас заинтересует
2 года назад
2 года назад
8 лет назад
8 лет назад
10 лет назад
10 лет назад
10 лет назад