• Предмет: Геометрия
  • Автор: JIu3a
  • Вопрос задан 10 лет назад

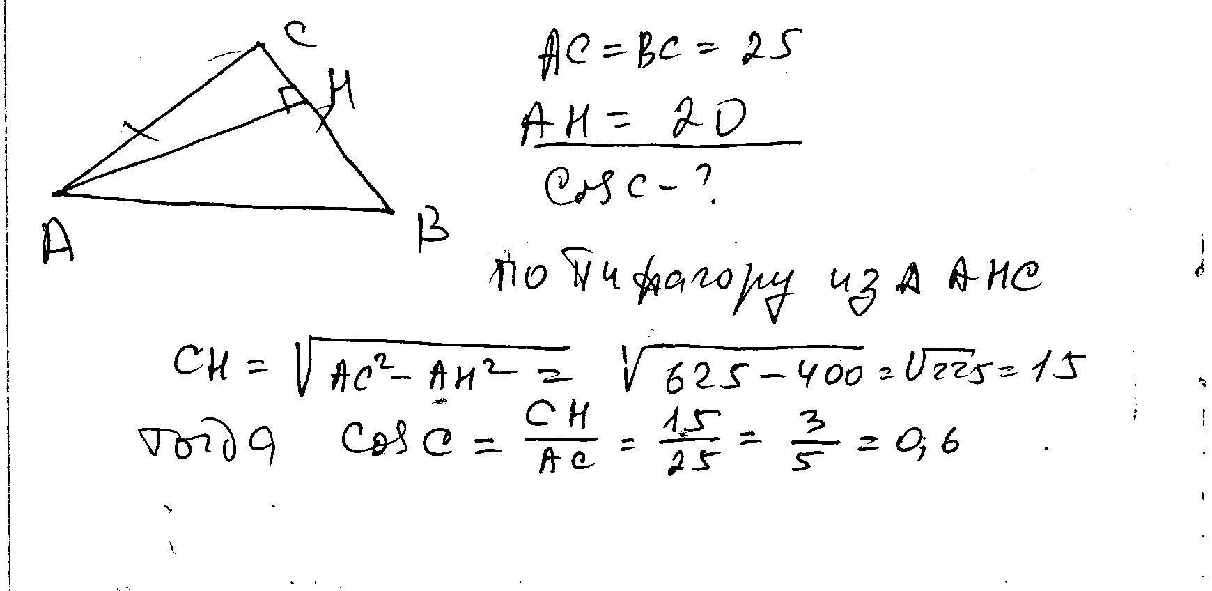
В тупоугольном треугольнике АВС АС=ВС=25, высота АН = 20. Найти cos ACB

Ответы

Ответ дал: ужнеужели
0
решение в скане..................
Приложения:
Вас заинтересует