• Предмет: Алгебра
  • Автор: Dina19282
  • Вопрос задан 2 года назад

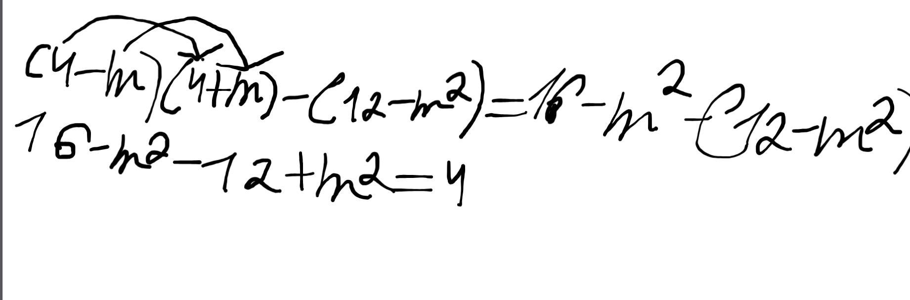
Записати вираз (4-m)(4+m)- (12-m²) у вигляді многочлена стандартного виду

Ответы

Ответ дал: himikomat
1

Ответ:

ответ на фото

,,,,,,,,,,,,,,,,,,,,,,,,,,,,,

Приложения:

Dina19282: Пасибо
Вас заинтересует