АЛГЕБРА 9 КЛАСС. ПОМОГИТЕ ПОЖАЛУЙСТА!! 
ЗАДАНИЯ НА ФОТО!!
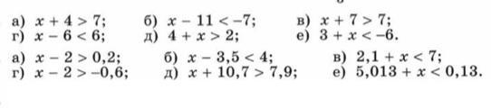
Нарисуйте пожалуйста к каждому неравенству координатную ось!!!!
                        
                                    Приложения:
                     
                            Ответы
                                            Ответ дал: 
                                                                                    
                                        
                                            
                                                
                                                
                                                
                                                    1
                                                
                                            
                                        
                                    Ответ:
Привет. координатная ось есть.
Приложения:
                     
                             
                            Вас заинтересует
                
                        1 год назад
                    
                
                        1 год назад
                    
                
                        1 год назад
                    
                
                        1 год назад
                    
                
                        2 года назад
                    
                
                        8 лет назад