• Предмет: Математика
  • Автор: sasha16018
  • Вопрос задан 2 года назад

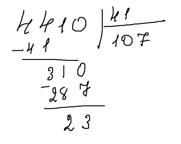
441 0 ÷ 41 в столбик

Ответы

Ответ дал: polarkat
1

Решение на фото ....

Приложения:

Аноним: ой блин г0ндон вернулся
tаtyana: )))
Вас заинтересует