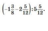
Даю 30 балів, приклад на фото
Приложения:

Аноним:
напишіть свій інст, там допоможу з вирішенням
Ответы
Ответ дал:
1
Ответ:
Пошаговое объяснение:
Приложения:

Ответ дал:
2
Ответ:
-0,7
Пошаговое объяснение:
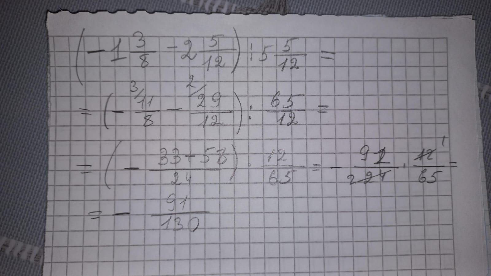
Решение на фото.
Приложения:

Вас заинтересует
1 год назад
1 год назад
1 год назад
2 года назад
2 года назад
8 лет назад
8 лет назад