• Предмет: Алгебра
  • Автор: zamanovmaga09
  • Вопрос задан 2 года назад

помогите решить

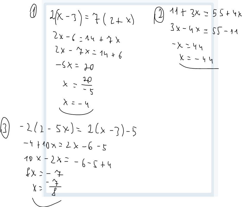
1. 2(x-3)=7(2+x)

2. 11+3x=55+4x

3. - 2(2-5x)=2(x-3)-5​

Ответы

Ответ дал: daniel6277
1

Ответ:

1. 2х-6=14+7х

2х-7х=14+6

-5х=20

х= -4

2. 3х-4х = 55-11

-х = 44

х = -44

3. -4+10х=2х-6-5

10х-2х= -6-5+4

8х=-7

х= -7/8

Ответ дал: gguketosl
0

Ответ:


Объяснение: Все на фото

Приложения:
Вас заинтересует