• Предмет: Алгебра
  • Автор: sanyasasd540
  • Вопрос задан 2 года назад

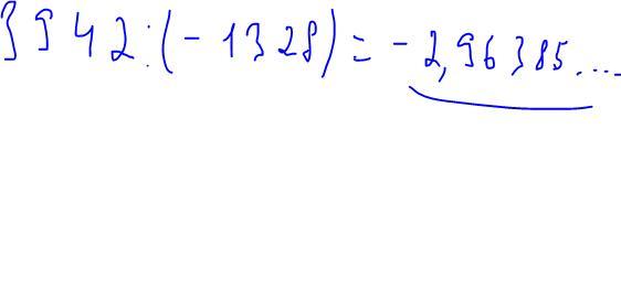
Виконайте ділення: 3942:(−1328).

Ответы

Ответ дал: gguketosl
0

##############################

Приложения:
Ответ дал: TaroEmiro
0

Для обчислення виразу 3942 - (-1328), ви можете використовувати наступні кроки:

Змініть від'ємне число на додатну форму, змінивши знак числа на протилежний:

-1328 стає 1328.

Тепер ви можете виконати віднімання:

3942 - 1328 = 2614.

Отже, вираз 3942 - (-1328) дорівнює 2614.

Вас заинтересует