• Предмет: Алгебра
  • Автор: nazar6941
  • Вопрос задан 2 года назад

поможіть
пжпжпжпжпжпжпжпжпжжпжпжпжпжпжпжп

Приложения:

Ответы

Ответ дал: Alnadya
1

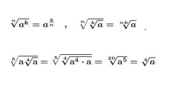
Решение .

Упростить .  Применяем свойства корней :

\boldsymbol{\sqrt[n]{a^{k}}=a^{\frac{k}{n}}\ \ \ ,\ \ \ \sqrt[n]{\sqrt[k]{a}}=\sqrt[nk]{a}}   .

\boldsymbol{\sqrt[5]{\bf a\sqrt[4]{\bf a}}=\sqrt[5]{\bf \sqrt[4]{\bf a^4\cdot a}}=\sqrt[20]{\bf a^5}=\sqrt[4]{a}}

Приложения:
Вас заинтересует