• Предмет: Математика
  • Автор: asdf1978
  • Вопрос задан 10 лет назад

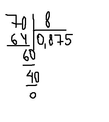
7:8 решение столбиком спасибо

Ответы

Ответ дал: ehrlichyana
0
20символов20символов
Приложения:
Ответ дал: zhezherina
0
семь восьмых семь восьмых
Приложения:
Вас заинтересует