ДАЮ 50 БАЛІВ, алгебра 8 клас, допоможіть, будь ласка
Приложения:

Аноним:
напишіть свій інст, там допоможу з вирішенням
Ответы
Ответ дал:
0
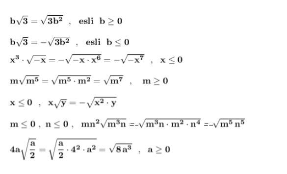
Ответ:
Внести множитель под корень . Под знаком корня выражение может быть только неотрицательным .
Приложения:

Вас заинтересует
1 год назад
1 год назад
1 год назад
1 год назад
2 года назад
2 года назад
8 лет назад