Ответы
Ответ дал:
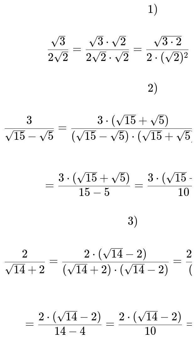
1
Объяснение:
ну я не знаю правильно или нет
Приложения:

egorrabhsenko:
Можно не обрезанную?
Вас заинтересует
1 год назад
1 год назад
1 год назад
2 года назад
2 года назад
8 лет назад
8 лет назад