• Предмет: Алгебра
  • Автор: lqlalalffff
  • Вопрос задан 2 года назад

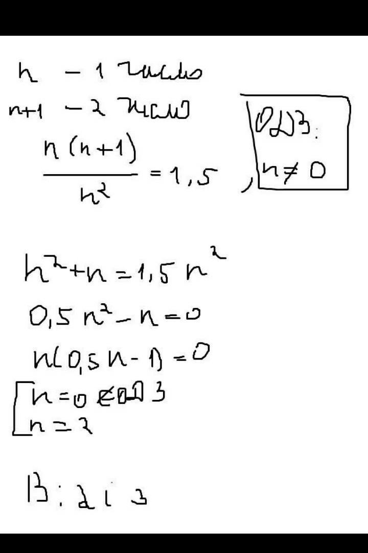
Добуток двох послідовних натуральних чисел в 1,5 рази більший за квадрат меншого з них. Знайти найбільше число

Ответы

Ответ дал: kkasumova122
0

все на фотографии))))))))

Приложения:
Вас заинтересует