• Предмет: Алгебра
  • Автор: sasatmysor
  • Вопрос задан 2 года назад

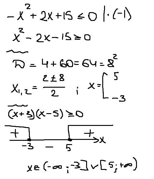
- х² + 2 х + 15 ≤ 0; ппжпжппжп 9 класс

Ответы

Ответ дал: cor1eone
1

Доброго времени суток. Решение во вложении

Приложения:

sasatmysor: бааааа
Вас заинтересует