• Предмет: Алгебра
  • Автор: aboba8524
  • Вопрос задан 2 года назад

Пожалуйста, срочно помогите решить!!

Приложения:

Ответы

Ответ дал: vlad86036
0

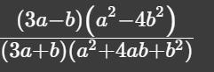
Ответ:

фото глянь

Объяснение:

Приложения:
Ответ дал: murtazalievaaminat60
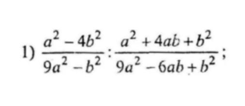
1

Ответ:

все указано на фото

Объяснение:

..................

..................

Приложения:

murtazalievaaminat60: да,это сам пример который действует под этой формулой
aboba8524: В условии то четыре.
murtazalievaaminat60: там 4 потому что,он уже умножен на 2
murtazalievaaminat60: я свернула по формуле
aboba8524: Мне всё равно не понятно, я хочу разобраться. Ты можешь расписать это уравнение, пожалуйста? Как для молдаван.
murtazalievaaminat60: молдаван?
aboba8524: Ну как для дебила
aboba8524: Как шутка
murtazalievaaminat60: давай тг юз,здесь не удобно,я там объясню тебе
aboba8524: @lolittz_w
Вас заинтересует