• Предмет: Алгебра
  • Автор: Kirilldlsk
  • Вопрос задан 2 года назад

ПАМАГИТЕ МНОГА БАЛОВ ДАЮ​

Приложения:

Ответы

Ответ дал: lsavchuk11
1

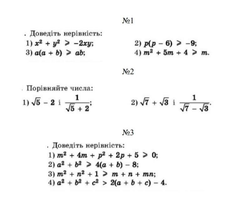
Ответ: No1:

Доведення нерівності x^2 + y^2 > -2xy:

Розглянемо дану нерівність:

x^2 + y^2 > -2xy

Додамо 2xy до обох сторін нерівності:

x^2 + 2xy + y^2 > 0

Тепер можемо записати ліву частину нерівності як квадрат бінома:

(x + y)^2 > 0

Квадрат будь-якого дійсного числа завжди більший або рівний нулю:

(x + y)^2 ≥ 0

Отже, x^2 + y^2 > -2xy для будь-яких дійсних x і y.

Доведення нерівності a(a + b) > ab:

Розглянемо дану нерівність:

a(a + b) > ab

Розкриємо дужки в лівій частині:

a^2 + ab > ab

Віднімемо ab від обох сторін нерівності:

a^2 > 0

Квадрат будь-якого дійсного числа, окрім 0, завжди більший за нуль:

a^2 > 0

Отже, a(a + b) > ab для будь-яких дійсних a і b.

p(p - 6) - 9:

Розглянемо вираз:

p(p - 6) - 9

Розкриємо дужки:

p^2 - 6p - 9

Даний вираз може бути спрощений, і ми отримаємо:

p^2 - 6p - 9

m^2 + 5m + 4 > m:

Розглянемо дану нерівність:

m^2 + 5m + 4 > m

Перенесемо всі члени на одну сторону нерівності:

m^2 + 5m + 4 - m > 0

Згрупуємо подібні члени:

m^2 + 4m + 4 > 0

Розкриємо квадрат бінома:

(m + 2)^2 > 0

Квадрат будь-якого дійсного числа, окрім 0, завжди більший за нуль:

(m + 2)^2 > 0

Отже, m^2 + 5m + 4 > m для будь-якого дійсного m.

No2:

Порівняння чисел:

sqrt(5) - 2i * 1/(sqrt(5) + 2) = (sqrt(5) - 2i) / (sqrt(5) + 2)

Множник sqrt(5) + 2 є комплексно-спряженим до sqrt(5) - 2i:

(sqrt(5) - 2i) * (sqrt(5) + 2) = 5 - 4i + 2sqrt(5)i - 4i^2 = 5 - 4i + 2sqrt(5)i + 4

= 9 - 4i + 2sqrt(5)i

Тепер поділимо (sqrt(5) - 2i) на (sqrt(5) + 2):

(sqrt(5) - 2i) / (sqrt(5) + 2) = (9 - 4i + 2sqrt(5)i) / 9

= (9/9) - (4i/9) + (2sqrt(5)i/9)

= 1 - (4/9)i + (2sqrt(5)/9)i

Отже, результат цього виразу є комплексним числом.

Порівняння чисел:

sqrt(7) + sqrt(8) * i * 1/(sqrt(7) - sqrt(3)) = (sqrt(7) + sqrt(8)i) / (sqrt(7) - sqrt(3))

Множник sqrt(7) - sqrt(3) є комплексно-спряженим до sqrt(7) + sqrt(8)i:

(sqrt(7) + sqrt(8)i) * (sqrt(7) - sqrt(3)) = 7 - sqrt(21) + sqrt(56)i - 8i

= 7 - sqrt(21) - 8i + sqrt(56)i

Тепер поділимо (sqrt(7) + sqrt(8)i) на (sqrt(7) - sqrt(3)):

(sqrt(7) + sqrt(8)i) / (sqrt(7) - sqrt(3)) = (7 - sqrt(21) - 8i + sqrt(56)i) / 4

= (7/4) - (sqrt(21)/4) - (8i/4) + (sqrt(56)/4)i

= (7/4) - (sqrt(21)/4) - 2i + (sqrt(14)/2)i

Отже, результат цього виразу є комплексним числом.

No3:

Доведення нерівності m^2 + 4m + p^2 + 2p + 5 > 0:

Даний вираз можна подати як суму квадратів:

m^2 + 4m + p^2 + 2p + 5 = m^2 + 4m + 4 + p^2 + 2p + 1

Згрупуємо квадрати:

(m^2 + 4m + 4) + (p^2 + 2p + 1) = (m +


Kirilldlsk: Это ты сам решил?
Kirilldlsk: :0
lsavchuk11: да
lsavchuk11: я из 11 класса учусь на одни 11
lsavchuk11: можешь нажать на спасибо?
lsavchuk11: или дякую
Kirilldlsk: могуу
Kirilldlsk: спасибо!!!
Вас заинтересует